院情总览
当前位置: 首页 · 院情总览 · 通知公告 · 正文
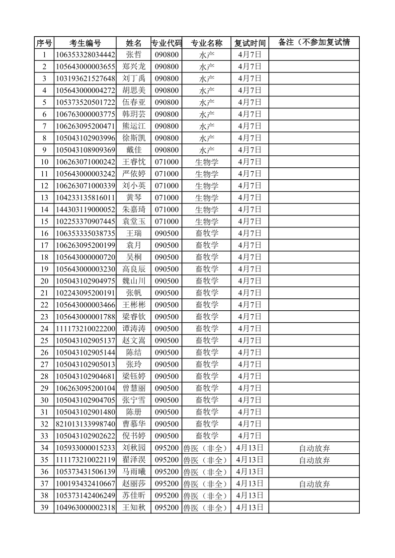
英国365集团网站动物科学公司2023年硕士研究生招生调剂复试考生名单公示
发布日期:2023-04-07 08:42:52 点击数: